Agendas of Parish Council Meetings.
Agenda 7th May 2026, Issued: 30/04/26
Annual Parish Council Meeting Agenda 7th May 2026, Issued: 30/04/26
Annual Parish Meeting Agenda 23rd April 2026, Issued: 13/04/26
Agenda 2nd April 2026, Issued: 27/03/26
Agenda 5th March 2026, Issued: 27/02/26
Agenda 8th January 2026, Issued: 03/01/26
Agenda 13th November 2025, Issued: 07/11/25
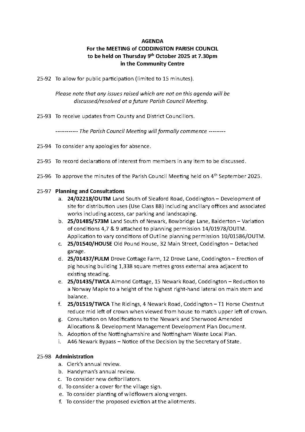
Agenda 9th October 2025, Issued: 03/10/25
Agenda 4th September 2025, Issued: 29/08/25
Agenda 3rd July 2025, Issued: 27/06/25
Agenda 5th June 2025, Issued: 30/05/25
Agenda 1st May 2025, Issued: 25/04/25
Annual Parish Council Meeting Agenda 1st May 2025, Issued: 25/04/25
Annual Parish Meeting Agenda 24th April 2025, Issued: 11/04/25
Agenda 3rd April 2025, Issued: 28/03/25
1
2
3
4
Next »